2185 - 子树的大小

题目描述

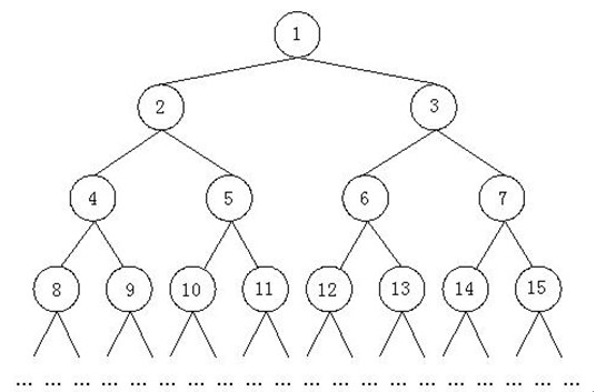
有如上图所示的完全二叉树,该二叉树有 n 个结点,编号从上向下、从左向右以此为 1 \sim n。请问,编号为 m 的结点所在的子树,包含了多少个结点?

比如,n = 12m = 3,则上图中的结点 131415 以及后面的结点都是不存在的,结点 m=3 所在子树中包括的结点有 36712,因此结点 m 的所在子树中共有 4 个结点。

输入

输入两个整数 mn。 (1 \le m \le n \le 10^9)

输出

输出结点 m 所在子树中包含的结点的数目。

样例

输入

3 7

输出

3
来源

二叉树

标签
题目参数
时间限制 1 秒
内存限制 128 MB
提交次数 0
通过人数 0
金币数量 1 枚
难度 入门


上一题 下一题